차밍이
[파이썬] 백준 2606번 바이러스 - BFS방식과 DFS 방식 비교 본문
바이러스
| 시간 제한 | 메모리 제한 | 제출 | 정답 | 맞은 사람 | 정답 비율 |
|---|---|---|---|---|---|
| 1 초 | 128 MB | 36616 | 15998 | 11164 | 42.386% |
문제
신종 바이러스인 웜 바이러스는 네트워크를 통해 전파된다. 한 컴퓨터가 웜 바이러스에 걸리면 그 컴퓨터와 네트워크 상에서 연결되어 있는 모든 컴퓨터는 웜 바이러스에 걸리게 된다.
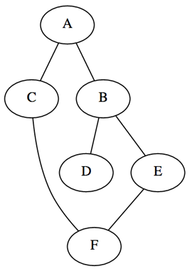
예를 들어 7대의 컴퓨터가 <그림 1>과 같이 네트워크 상에서 연결되어 있다고 하자. 1번 컴퓨터가 웜 바이러스에 걸리면 웜 바이러스는 2번과 5번 컴퓨터를 거쳐 3번과 6번 컴퓨터까지 전파되어 2, 3, 5, 6 네 대의 컴퓨터는 웜 바이러스에 걸리게 된다. 하지만 4번과 7번 컴퓨터는 1번 컴퓨터와 네트워크상에서 연결되어 있지 않기 때문에 영향을 받지 않는다.

어느 날 1번 컴퓨터가 웜 바이러스에 걸렸다. 컴퓨터의 수와 네트워크 상에서 서로 연결되어 있는 정보가 주어질 때, 1번 컴퓨터를 통해 웜 바이러스에 걸리게 되는 컴퓨터의 수를 출력하는 프로그램을 작성하시오.
입력
첫째 줄에는 컴퓨터의 수가 주어진다. 컴퓨터의 수는 100 이하이고 각 컴퓨터에는 1번부터 차례대로 번호가 매겨진다. 둘째 줄에는 네트워크 상에서 직접 연결되어 있는 컴퓨터 쌍의 수가 주어진다. 이어서 그 수만큼 한 줄에 한 쌍씩 네트워크 상에서 직접 연결되어 있는 컴퓨터의 번호 쌍이 주어진다.
출력
1번 컴퓨터가 웜 바이러스에 걸렸을 때, 1번 컴퓨터를 통해 웜 바이러스에 걸리게 되는 컴퓨터의 수를 첫째 줄에 출력한다.
예제 입력 1
7
6
1 2
2 3
1 5
5 2
5 6
4 7
예제 출력 1
4
파이썬 소스코드 01 : DFS 방식
from sys import stdin
read = stdin.readline
dic={}
for i in range(int(read())):
dic[i+1] = set()
for j in range(int(read())):
a, b = map(int,read().split())
dic[a].add(b)
dic[b].add(a)
def dfs(start, dic):
for i in dic[start]:
if i not in visited:
visited.append(i)
dfs(i, dic)
visited = []
dfs(1, dic)
print(len(visited)-1)
-
결과
- 메모리 : 29284 KB
- 시간 : 52 ms
-
문제 풀이
-
흔히 dfs와 bfs 문제를 풀 때, 트리 방식으로 생각해서 문제를 해결하는 경우가 많습니다. 이번 문제에서는 딱히, 상위 노드와 하위 노드가 정해진 것이 아니기 때문에 그래프 방식으로 생각하면 되겠습니다.\
-
그래프 방식 예시는 아래와 같습니다.


-
이러한 방식으로 A 노드와 연결된 다른 노드 들을
set집합 연산자를 통해서 표현할 수 있습니다. -
같은 방식으로 이번 문제에서도 1에서 7까지의 컴퓨터에 대해서 연결된 것을 그래프 형식으로 표현하면 되겠습니다.
-
소스코드의
dic가 그림의graph와 동일하다고 생각하면 됩니다. -
예제 입력 1번의 노드를 연결한 결과가 아래와 같이 나타날 것입니다.
-
dic = {1: {2, 5}, 2: {1, 3, 5}, 3: {2}, 4: {7}, 5: {1, 2, 6}, 6: {5}, 7: {4}} -
이제 재귀 방식의 dfs를 통해서 바이러스가 걸린 컴퓨터를 찾아나갑니다.
-
바이러스가 걸린 경로들을
visited에 저장한 후 최종 출력에서는 본인1을 제외한 나머지 노드들의 개수를 출력합니다.
-
파이썬 소스코드 02 : BFS 방식
from sys import stdin
read = stdin.readline
dic={}
for i in range(int(read())):
dic[i+1] = set()
for j in range(int(read())):
a, b = map(int,read().split())
dic[a].add(b)
dic[b].add(a)
def bfs(start, dic):
queue = [start]
while queue:
for i in dic[queue.pop()]:
if i not in visited:
visited.append(i)
queue.append(i)
visited = []
bfs(1, dic)
print(len(visited)-1)
-
결과
- 메모리 : 29284 KB
- 시간 : 52 ms
-
문제 풀이
- 동일한 방식에서 bfs 방식으로 문제를 해결하는 것만 바뀌었습니다.
- bfs 방식은 큐 방식을 사용해서 문제를 해결하도록 합니다.
- 결론적으로 두 문제의 풀이에서 차이는 유사한 것 같습니다.
- 두 풀이 모두 52 ms로 적은 시간으로 문제를 해결할 수 있습니다.
- 일반적으로 모든 경우를 다 탐색해야 하는 경우는 DFS가 더 선호되는 것으로 알고 있습니다.
-
DFS BFS 다른 문제
'파이썬 > 알고리즘' 카테고리의 다른 글
| [파이썬] 백준 14502번 연구소 : DFS + 브루트 포트 (0) | 2020.04.07 |
|---|---|
| [파이썬] 백준 17269번 이름궁합 테스트 : itertools 함수 활용 (0) | 2020.04.06 |
| [파이썬] 백준 2178번 미로 탐색 - BFS 최단 경로 탐색 (2) | 2020.03.13 |
| [파이썬] 백준 2667번 단지번호붙이기 - DFS 방식 문제 풀이 (0) | 2020.03.08 |
| [파이썬] 백준 1260번 DFS와 BFS (4) | 2020.03.07 |
| [Python] 백준 1654번 랜선 자르기 - 이분 탐색 (0) | 2020.03.06 |
| [Python] 백준 4195번 친구 네트워크 - 유니온 파인드(Union Find) 활용 (0) | 2020.02.29 |
| [파이썬] 백준 5397번 키로거 - 스택 발상의 전환 (1) | 2020.02.29 |